愛北大 唯讀圖書館

已更新!!高中數學問題~急

2010-08-18 22:26 · 樓主
🔧 本帖最後由 水星人 於 2010-8-18 23:21 編輯


首先是

抱歉不知道這篇要放在哪一個主題

(X2-1)10+X2+X-1/X-1

後面的2(10)是指平方

括號-X平方減1-括號的10方(整個X平方減1的10方) 加上X的平方 加上X 減1

除X減一

求餘式

拜託大家幫忙一下

我要解答過程

我一定要弄懂這題啦!!
2010-08-18 22:54 · 2樓
🔧 本帖最後由 麥克 於 2010-8-19 00:33 編輯


不要在意ㄚ...我是來亂的.

有人提示, 原式若看做是 ( (X^2-1)^10 + X^2 + X -1 ) / ( X -1 )的話呢.....
2010-08-18 22:54 · 3樓
我看了一下...直覺答案是x
但是因為你的題目標示不清
如果我答案對...我才能po怎麼算出
2010-08-18 22:57 · 4樓
sorry題目後面打錯了

最後是 " 減一 " 喔!

我求出來是 1025
2010-08-18 22:57 · 5樓
2# 麥克
= =
2010-08-18 23:04 · 6樓
答案是1
2010-08-18 23:05 · 7樓
答案是1嗎?
2010-08-18 23:06 · 8樓
🔧 本帖最後由 北大新住民 於 2010-8-18 23:10 編輯


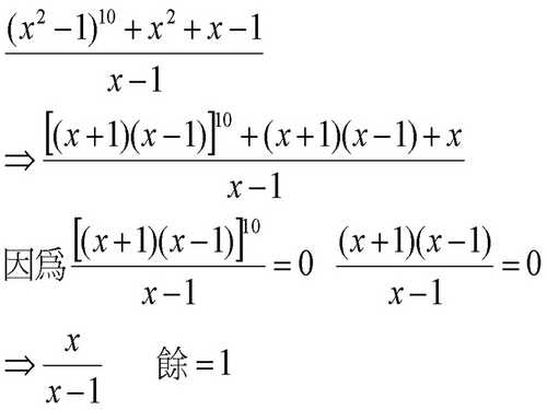
(X^2-1)^2 + X^2 + X -1/X -1 =[(x+1)(x-1)]^2 +X^2 -1可變成(x+1)(x-1)+X
所以只剩下X
X就變成餘數了




ps..水星人...答案不可能是1025啦...
2010-08-18 23:08 · 9樓
🔧 本帖最後由 住在哪 於 2010-8-18 23:11 編輯


8# 北大新住民


他問的是餘式.........
2010-08-18 23:12 · 10樓
答案真的部會是1025唷~~~~
2010-08-18 23:12 · 11樓
剛剛

看了大家的答案覺得好怪= =

才發現

我不小心把10方寫成2方ㄌ!!

抱歉啦抱歉啦~{:4_155:}

回樓上的' 北大新住民

我有用這方法算

變ㄉ好複雜
2010-08-18 23:13 · 12樓
9# 住在哪
喔喔...那答案就是1沒錯
2010-08-18 23:15 · 13樓
11# 水星人
我剛剛那種方法算出來也是餘式=1呀
可能你算錯了
只是我一開始想錯而已
2010-08-18 23:17 · 14樓
13# 北大新住民


好啦~我們都交他了,那既然他標錯題目,他就自己算ㄅ~睡覺去
2010-08-18 23:19 · 15樓
🔧 本帖最後由 mattlin 於 2010-8-19 06:32 編輯


如果是
{(X2-1)2+X2+X-1}/X-1
因式分解一下就好了
這是可以整除的題目
餘式是1
商是(x+1)^2(x-1)+(x-1)

我看錯題目
最後一項會是X/(X-1)
所以餘式是1
2010-08-18 23:19 · 16樓
我是把它拆成2部分

先算

[(x+1)(x-1)]^10

把(x-1)除掉(因為求餘數 不用管商)

=(x+1)^10

再除X-1

=(2)^10

=1024

我把(X+1)平方

除(X-1)

等於 4

(X+1)的三方

除(X-1)

等於 8

意思是次方不會影響餘數ㄇ?
2010-08-18 23:20 · 17樓
🔧 本帖最後由 麥克 於 2010-8-19 09:04 編輯


如果是
{(X2-1)2+X2+X-1}/X-1
因式分解一下就好了
mattlin 發表於 2010-8-18 23:19


哇哈...原式應該沒有大括弧....等一下, 可能你是對的喔, 應該要除個什麼東西後才有餘式可說....

= ( (X+1)^2 * (X-1)^2 + X^2 - 2X +1 +3X -3 + 1 ) / (X-1) = ( (X+1)^2 * (X-1)^2 + ( X-1 )^2 + 3*(X-1)+1 ) / (X-1) .....只有1不能被X-1除盡, 所以餘式 = 1.....

畢業太久了.....都還給老師了....努力回想中....
2010-08-18 23:24 · 18樓
16# 水星人


同學~我要跟你老師說你上課不認真!!!
[(x+1)(x-1)]^10 = (x+1)^10(x-1)^10

故(x+1)^10(x-1)^10 /(x-1) 只有商數沒有"餘數"

另外一部分請自己算
2010-08-18 23:26 · 19樓
即使今天你前面是100次方,還是一樣,因為它就是會整除!!! 關鍵是後面不能整除的部份~
2010-08-18 23:28 · 20樓
回 上面的 住在哪

(x+1)^10(x-1)^10 /(x-1)

這條阿

(x+1)^10

並不會整除耶.....

PS:還沒開學= =這是暑假作業

連數學老師是誰都還不知道哩~(國三升高一)
2010-08-18 23:32 · 21樓
同學~~~
那我這樣跟你說好了
請問 (2^10 * 3^10)/2

請問餘數是多少??
如果你還是不會~~那我想你等開學老師教你好了!!我不會解釋了~~哈哈
2010-08-18 23:35 · 22樓
回 住在哪

我知道這方法會錯= =

所以才帶了2方和3方來試試看~

這些題目開學第一天就要考了= =

誰可以給一下詳解壓?
2010-08-18 23:41 · 23樓
什麻叫做這方法會錯???
是你的方法錯 還是我的方法錯
我給你的事正解 你不懂的點在哪裡....@@
2010-08-18 23:41 · 24樓
同學~~~
那我這樣跟你說好了
請問 (2^10 * 3^10)/2

請問餘數是多少??
如果你還是不會~~那我想你等開學老師教你好了!!我不會解釋了~~哈哈
住在哪 發表於 2010-8-18 23:32


鈴鈴鈴嗎? 我又來亂了....別理我.
2010-08-18 23:43 · 25樓
回 麥克

沒錯 答案是0
2010-08-18 23:46 · 26樓
🔧 本帖最後由 水星人 於 2010-8-18 23:50 編輯


回 住在哪

我說 我知道這方法會錯

是指下方我用的方法

先把(X-1)^10方除掉

求(X+1)^10

ㄉ餘數

不要生氣啦~


我想我的疑問點是

(X+1)^10

除(X-1)

餘要怎麼球出來

要連著 X^2+X+1 一起算嗎?

歸納在一起之類的?

還是前面不可以先把(X-1)^10約掉?

麻煩一下拉~3Q
2010-08-18 23:50 · 27樓
🔧 本帖最後由 北大新住民 於 2010-8-19 00:04 編輯


23# 住在哪
別覺得奇怪啦..現在國中生有很多以前我們學的都刪除不教
聽說理化(現在改叫自然科)有很多計算題都不教了
所以不懂應該是正常的
我相信數學一定也簡化不少
2010-08-19 00:07 · 28樓
26# 水星人


姐姐我本來要去睡的,可是有點給他看不下去了。

上半部的重點在(x+1)^10(x-1)^10/(x-1) 他是乘法,顧名思義 只要有一個相同的東西,其他就事商數

ex: (2^2 *3^2) /2 = 18.....餘0 ,即4*9/2=18 所以只要是"乘法" ,平方可以直些消除或忽略不看 (當然這是在你的除數和被除數是相同數字)

你上下兩部分可以拆開來看是因為上部分就可以整除 所以不會有餘數,所以應該算下部分餘數為何??
2010-08-19 00:12 · 29樓
這樣在看不懂我也沒法
2010-08-19 00:13 · 30樓
🔧 本帖最後由 麥克 於 2010-8-19 00:18 編輯


嗯...看來大家的算法得到的結果都是一樣的...餘式 = 1 居多數....快瘋了....睡覺去.
2010-08-19 00:19 · 31樓
抱歉

容許我這豬頭的學生問一下

(X+1)(X-1)除已(X-1)

不是等於2ㄇ?
2010-08-19 00:20 · 32樓
沒事啦

突然知道怎算ㄌ!!

上面那ㄍ砍掉啦
2010-08-19 00:21 · 33樓
28# 住在哪

感謝

小弟我終於明白ㄌ= ={:4_161:}
2010-08-19 00:21 · 34樓
29# michaelwang

感恩啦~

大大寫的好詳細優~!
2010-08-19 00:29 · 35樓
找到一題類似的....

多項式(x5+x2+2x+3)3 除以(x4+x+1)所得的餘式為【    】

(x5+x2+2x+3)3=〔x(x4+x+1)+(x+3)〕3
= 〔x(x4+x+1)〕3+ 〔x(x4+x+1)〕2(x+3)1+ 〔x(x4+x+1)〕1(x+3)2+ (x+3)3

除了 (x+3)3 之外, 其餘皆可被(x4+x+1)除盡,所以餘式為 (x+3)3 = x3+9x2+27x+27
2010-08-19 00:30 · 36樓
35# 麥克
謝拉~

來練習一下~
2010-08-19 09:11 · 37樓
真乖 這麼晚還在寫銜接教材
我要去看看我家女兒(也是高一)的功課寫了沒
2010-08-19 11:20 · 38樓
🔧 本帖最後由 andy826 於 2010-8-19 15:51 編輯


............
一開始~ 我還看不懂他題目在寫啥咧. {:4_186:} 乘方表示要以^表示吧. 各位釐清後, 答案就是1啦.
正規解法就是#29. 另一個算法就是除式x-1 要有解就是 x=1 代進去被除式得餘數.
2010-08-19 15:22 · 39樓
這帖跟五年級音樂那帖有異曲同工之妙, 都把人急速拉回學生時代的回憶... {:4_139:}
2010-08-19 15:37 · 40樓
我只能說現在小孩子的學習方式都很網路化...都還知道上網求救...真是太厲害啦~~想當初...爸媽不會...姐姐沒空...就只能自己皮繃緊一點...知道答案用反推的方式算出答案...再去理解過程...現在的學生真好命...有網路真好!!!如果還想多練習 我再把高中課本翻出來 多讓你練習幾題好啦.....呼呼~~